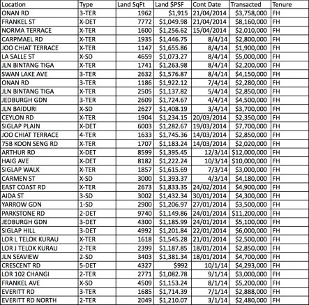
Landed homes transactions 19May 201419 May 2014Add a comment Landed home prices in District 15 seems to be holding on well, despite the islandwide softening in the real estate market. However transaction volume is low. What will be the future like? Share this: Email a link to a friend (Opens in new window) Email Share on Facebook (Opens in new window) Facebook Print (Opens in new window) Print Share on Pinterest (Opens in new window) Pinterest Share on LinkedIn (Opens in new window) LinkedIn Like Loading... Related